Fuerza Magnética entre dos conductores paralelos
Fuerza Magnética entre dos conductores paralelos
Conductores Paralelos
Si por dos conductores circula una corriente, cada uno sufrirá el efecto del campo magnético del otro. Si la corriente es de igual sentido aparece una fuerza de atracción entre ambos.
Como una corriente en un conductor crea su propio campo magnético, es fácil entender que los conductores que lleven corriente ejercerán fuerzas magnéticas uno sobre el otro. Como se vera, dichas -fuerzas pueden ser utilizadas como base para la definición del ampere
Fuerza de repulsión entre dos conductores paralelos que
transportan corrientes eléctricas en sentido contrario.
“Dos conductores rectos paralelos, que transportan corriente en un mismo sentido se atraen y si lo hacen en sentidos contrarios se rechazan”.
Interacción entre conductores en movimiento y campos magnéticos
FUERZAS MAGNÉTICAS ENTRE DOS CONDUCTORES PARALELOS
Cuando dos cargas eléctricas se mueven en forma paralela
interactúan sus respectivos campos magnéticos y se produce una fuerza magnética
entre ellas. La fuerza magnética es de atracción si las cargas que se mueven
paralelamente son del mismo signo y se desplazan en igual sentido.
Como las partículas se mueven con velocidad (VA) a lo largo
del conductor, en sentido de la corriente, el tiempo (T) que tarda q en pasar
por A es tal que:
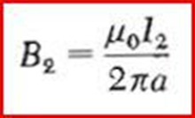
Se puede determinar fácilmente la fuerza sobre uno de los
alambres debida al campo magnético producido por el otro alambre. El alambre 2,
el cual lleva una corriente I², genera un campo magnético B²en la posición del
alambre 1, la fuerza magnética sobre una longitud l del alambre 1 es F¹ = I¹l x
B²
La dirección de F¹ es hacia abajo, hacia el alambre 2. Si se considera el campo sobre el alambre 2 debido al alambre 1, la fuerza F² sobre el alambre 2 se encuentra que es igual y opuesta a F¹.
Como se citó anteriormente, conductores paralelos que lleven corrientes en la misma dirección se atraen uno al otro, mientras que conductores paralelos que lleven corrientes en direcciones opuestas se repelen.






Comentarios
Publicar un comentario